纸短情长,心“声”相传,愿你们早日凯旋
2020-06-03 22:41:39
影视系
字号【
大
中
小
】
纸短情长,心“声”相传,愿你们早日凯旋
面对这场突如其来的新型冠状病毒感染的肺炎疫情,无数的白衣天使与亲人决绝告别,奔赴战“疫”一线。“你们的背影成为了最美的逆行者,你们英雄精神永驻,你们成为了我们的学习榜样。”
近日,陕西艺术职业学院影视系学子们难抑心中的感动,纷纷提笔写信,表达美好祝福与感激之情。其中,“全国大学生自强之星”荣誉称号,
影视系
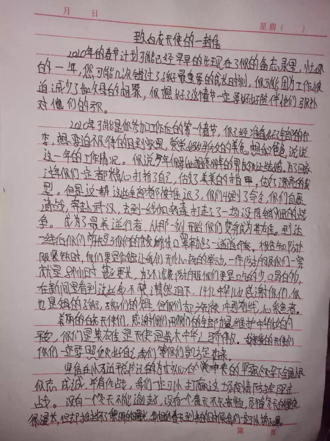
17级播音与主持专业的久美曲忠同学,率先书写致白衣天使的一封信,作为少数民族学生预备党员,以自己的视角与真挚情感,向白衣天使致敬,并申请朗读,愿疫情早日过去,天使早日凯旋而归!

久美曲忠致白衣天使的一封信

久美曲忠录制视频为武汉加油、为中国加油
你们成为了我们的学习榜样。影视系17级播音与主持专业的久美曲忠同学。率先书写致白衣天使的一封信。向白衣天使致敬。
说明:热度榜主要以育人号最近72小时的活跃度(包括发文量、浏览量、评论数、点赞数)和近24小时的更新数为主要指标进行计算。其中前者占60%,后者占40%。
我要评论 (网友评论仅供其表达个人看法,并不表明本站同意其观点或证实其描述)
全部评论 ( 条)