我所在原子系综自旋压缩与光压缩的联合制备研究中取得重要进展
近日,激光光谱研究所党支部成员贾锁堂教授、肖连团教授、肖艳红教授研究团队在原子系综自旋压缩与光压缩的联合制备研究方面取得了重要进展,相关研究成果“Concurrent Spin Squeezing and Light Squeezing in an Atomic Ensemble”于10月24日发表在Physical Review Letters期刊上。博士生金沈超为论文的第一作者,肖艳红教授和温州大学王明锋教授为论文共同通讯作者,贾锁堂教授和肖连团教授为该工作提供了重要指导,光电研究所申恒教授参与了研究。
因其在光干涉仪和量子传感等精密测量领域的重要意义,自旋压缩态和压缩光等量子纠缠态一直以来都是物理学的前沿研究方向之一。然而,光压缩和自旋压缩态的制备与应用往往都是在不同的实验中实现。尽管两种压缩态都涉及关联粒子对的激发,针对飞行的光子和相对静止的原子常常需要采用不同的压缩方案。鉴于光和原子在波粒二象性和相干态数学描述上的紧密联系,从量子压缩的角度审视二者之间的异同是一个有趣而新颖的议题。与此同时,二者的联合压缩也可以节约资源,并在量子计量学和量子信息等领域有新的潜在应用。然而,因为光压缩和原子自旋压缩的制备一般来说需要不同的物理过程,迄今为止,除了一些理论方案之外,它们的联合制备在实验上仍是一项挑战。
以往研究中,基于非线性相互作用的光压缩几乎不对原子态产生影响、以光为媒介的自旋压缩一般不提供光压缩所需的反馈机制。针对该问题,团队在理论上研究了周期性短光脉冲的频闪光场与原子的相互作用过程,发现在精心设计的一种原子和光的对称相互作用下,光和原子能互为量子信息中介、从而实现联合压缩。基于提出的方案,团队首次实验实现了光和原子的联合压缩。相较于先前基于量子非破坏测量的条件自旋压缩,该联合压缩过程是确定性的,其制备的光场和集体原子自旋都有固定的压缩方向。团队还发现,尽管相互作用是对称的,但因为原子在空间相对固定、而光子总处于飞行和量子态更新的状态,原子的自旋压缩比光压缩更容易受到噪声的破坏。 基于这一认识,团队后续将探索更有效的压缩方案,并通过增加原子介质的光学厚度进一步提高压缩度。这种新型的光和原子的同时压缩态在量子精密测量和量子网络中均有重要应用价值,本研究所提出的方案也能扩展到光机械、冷原子和离子阱等其他量子平台。

图1 光和原子联合量子压缩装置与过程示意图
(a) 压缩制备与验证装置示意图;(b) 脉冲序列示意图;(c) 联合压缩原理示意图。

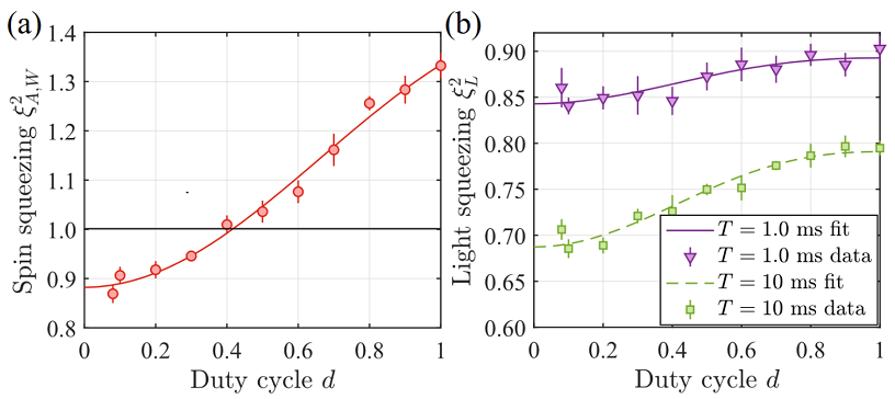
图2 光和原子联合量子压缩制备的实验结果图
(a) 原子自旋压缩度随频闪占空比关系图;(b) 光压缩度随频闪占空比关系图。
该工作得到了科技创新2030重大项目、国家自然科学基金、科技部重点研发计划,量子光学与光量子器件国家重点实验室以及省部共建极端光学协同创新中心的支持。
论文链接:https://doi.org/10.1103/PhysRevLett.133.173604

我要评论 (网友评论仅供其表达个人看法,并不表明本站同意其观点或证实其描述)
全部评论 ( 条)